• Предмет: Математика
  • Автор: vadushabritva
  • Вопрос задан 2 года назад

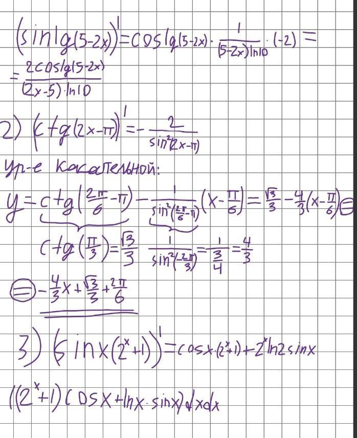
Нахождение производных и дефферинциалов функции ​

Приложения:

Ответы

Ответ дал: byrynduk
2

Пошаговое объяснение:

я хз что такое дифференциал 2го порядка

Приложения:
Вас заинтересует