• Предмет: Математика
  • Автор: krivonosarina516
  • Вопрос задан 2 года назад

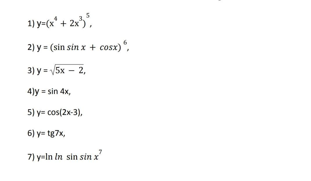
Помогите пожалуйста 25 балов

Приложения:

Ответы

Ответ дал: musaevs984
0

Ответ:

роооггооооог Оззи Алла роооггооооог ПДД

Вас заинтересует