• Предмет: Физика
  • Автор: jeka210103
  • Вопрос задан 2 года назад

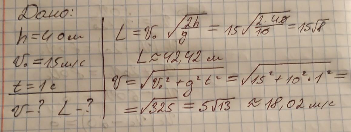
Тело брошено со скалы высотой 40 метров с горизонтальной скоростью 15 м/с. Найти скорость камня через 1 секунду от начала движения и максимальную дальность полёта

Ответы

Ответ дал: VitalikMaksymchuk
1

Ответ:

V=18,02 м/с

L=42,42 м

Объяснение:

.......

Приложения:
Вас заинтересует