• Предмет: Математика
  • Автор: mark404
  • Вопрос задан 2 года назад

Решите,пожалуйста очень нужно

Приложения:

Ответы

Ответ дал: Аноним
1

Ответ:

Пошаговое объяснение:

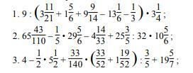
9÷(3 11/21 +1 5/6 +9 9/14 -13 1/6 -1/3)·3 1/4=9÷(3 22/42 +9 27/42 +1 5/6 -12 7/6 -2/6)·13/4=9·13/(4·(12 49/42 -11 2/3)=9·13/(4·(12 49/42 -11 28/42)=9·13/(4·1 3/6)=9·13/(4·3/2)=9·13/(2·3)=3·13/2=39/2=19,5

65 43/110 -1/5 ·29 5/6 -4 14/33 +25 3/5 ÷32·10 5/6=65 43/110 -1/5 ·179/6 -4 14/33 +128/5 ·1/32 ·65/6=65 43/110 -5 29/30 -4 14/33 +4·13/6=65 129/330 -5 319/330 -4 140/330 +8 2/3=64 459/330 -9 459/330 +8 2/3=55+8 2/3=63 2/3

4 -1/2 ·5 1/2 +33/140 ·(33/52 +1 19/52)÷(3/5)+19 5/7=4 -1/2 ·11/2 +33/140 ·2·5/3 +19 5/7=3 4/4 -2 3/4 +11/14 +19 10/14=1 1/4 +20 1/2=1 1/4 +20 2/4=21 3/4=21,75

Вас заинтересует