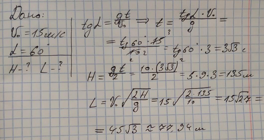
Камень, который брошен горизонтально со скоростью 15 м / с, упал на землю под углом 60 ° к горизонту. С какой высоты был брошен камень? На каком расстоянии по горизонтали камень упал на землю?
Ответы
Ответ дал:
1
Ответ:
H=135 м
L≈77,94 м
Объяснение:
..............
Приложения:

margaritagvozdkova45:
привет
Вас заинтересует
1 год назад
1 год назад
1 год назад
1 год назад
3 года назад
8 лет назад