
Я знаю как разбирать формулу, но не понимаю, как её именно собрать, объясните пошагово пожалуйста.
timur6279:
если есть вопросы по алгебре, то вот мой телеграмм @Timaponl
спасибо большое
можешь подписаться на этот акк
я тут часто
конечно
привет можеш пожалуйста помочь с алгеброй
ну, го
что именно интересует?
там нужно решить примеры у меня на странице 2 последних вопроса
пожалуйста если тебе не трудно
Ответы
Ответ дал:
2
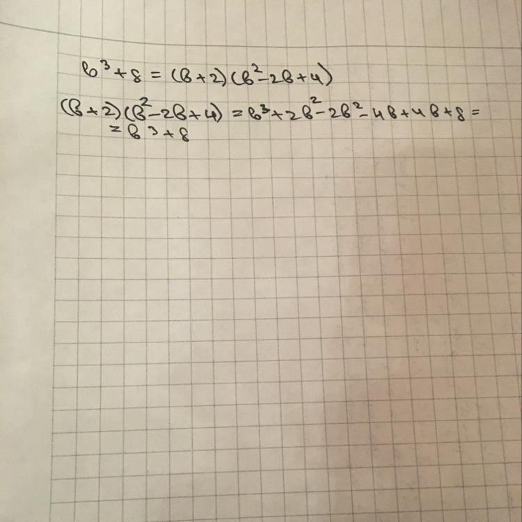
Решение приложено к снимку:
Приложения:
откуда +2b^2
У вас в условии формула не правильная
она такая
всё верно, по книге
Проверьте, формула должна быть такая: b^3 + 8 = (b + 2)(b^2 - 2*b + 4)
ну да
вы немного не правильно написали последоватьность, а так я уже всё сам догадался, но на этом спасибо
Вас заинтересует
2 года назад
2 года назад
2 года назад
3 года назад
9 лет назад