• Предмет: Математика
  • Автор: anasmasiabirulina6
  • Вопрос задан 2 года назад

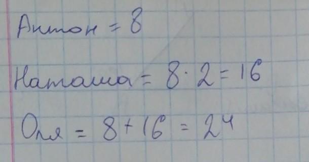
Дети играли в шахматы Антоном выиграл в 8 раз наташина два раза больше чем Антон А Оля столько сколько Антон и Наташа вместе сколько раз Оля выиграла в шашки​

Ответы

Ответ дал: zrittel
0

Пошаговое объяснение:

...................

Приложения:
Вас заинтересует