• Предмет: Математика
  • Автор: volodyadikiy1488
  • Вопрос задан 2 года назад

Чет какая-то кривая матрица попалась, обычно должна быть 3 на 3 или 4 на 4, а тут этот средний челик длиннее чем все остальные. Такая матрица решается? Если можете, решите её плиз.

Приложения:

volodyadikiy1488: метод гаусса кстать надо
volodyadikiy1488: но мне главное чтоб ответ хотя бы какой то был правильный
MiniDen: написал бы в вопросе
MiniDen: подсказка существуют специальные калькуляторы

Ответы

Ответ дал: MiniDen
1

Ответ:

Пошаговое объяснение:

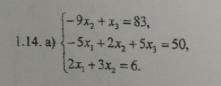
Система

x-9x₂=83

5x-5x₁+2x₂=50

2x₁+3x₂=6

Система

x=83+9x₂

5x-5x₁+2x₂=50

2x₁+3x₂=6

(подставляем значение X «x=83+9x₂» в «5x-5x₁+2x₂=50»)

Система

5(83+9x₂)-5x₁+2x₂=50 (раскрываем скобки и считаем это и сами сможете)

2x₁+3x₂=6

Система(итог) (теперь обе части уравнения умножаем на 2 и на 5 соответственно)

-5x₁+47x₂=-365

2x₁+3x₂=6

Система (исключаем одну из переменных путём сложения уравнений)

-10x₁+94x₂=-730

10x₁+15x₂=30

получим

109x₂=-700

x₂= -700/109

теперь данный x₂

подставляем в 2x₁+3x₂=6

получаем

2x₁+3(-700/109)=6

решаем относительно

x₁ получаем что

x₁= 1377/109

подставим это в x=83+9x₂

получим

x=83+9(1377/109)

упрощаем получается

x=2747/109

и того x,x₁,x₂ (см рис)

можно проверить подставить любой из x во все уравнения но это сами справитесь

Приложения:
Вас заинтересует