• Предмет: Алгебра
  • Автор: kul4ginmaksim
  • Вопрос задан 2 года назад

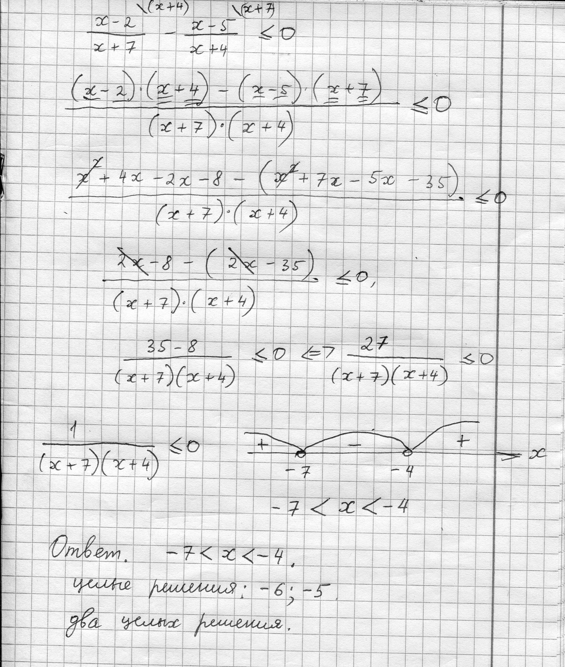
найдите количество целых чисел удовлетворяющих неравенству

Приложения:

Ответы

Ответ дал: Аноним
2

Я написал решение на листочке ===>>

Приложения:
Вас заинтересует