Ответы
                                            Ответ дал: 
                                                                                            
                                                    
                                                
                                                                                    
                                        
                                            
                                                
                                                
                                                
                                                    1
                                                
                                            
                                        
                                    Ответ:
см.фото
Пошаговое объяснение:
Приложения:
                    
                            
                    9Delight6:
                    Спасибо большое!
                
            
                    
                    пожалуйста
                
            
                                            Ответ дал: 
                                                                                    
                                        
                                            
                                                
                                                
                                                
                                                    0
                                                
                                            
                                        
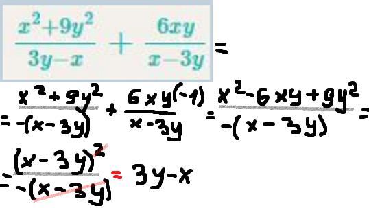
                                    Ответ:
x²+9у²/ 3у-х - 6xy/x-3y= x²+9y²-6xy/3у-x=3y-x
Приложения:
                    
                            
                            
                    
                    Немного поздно, да и самой себе 5 звезд ставить наверное не красиво... Но все равно спасибо
                
            Вас заинтересует
                
                        1 год назад
                    
                
                        1 год назад
                    
                
                        1 год назад
                    
                
                        3 года назад
                    
                
                        3 года назад
                    
                
                        8 лет назад