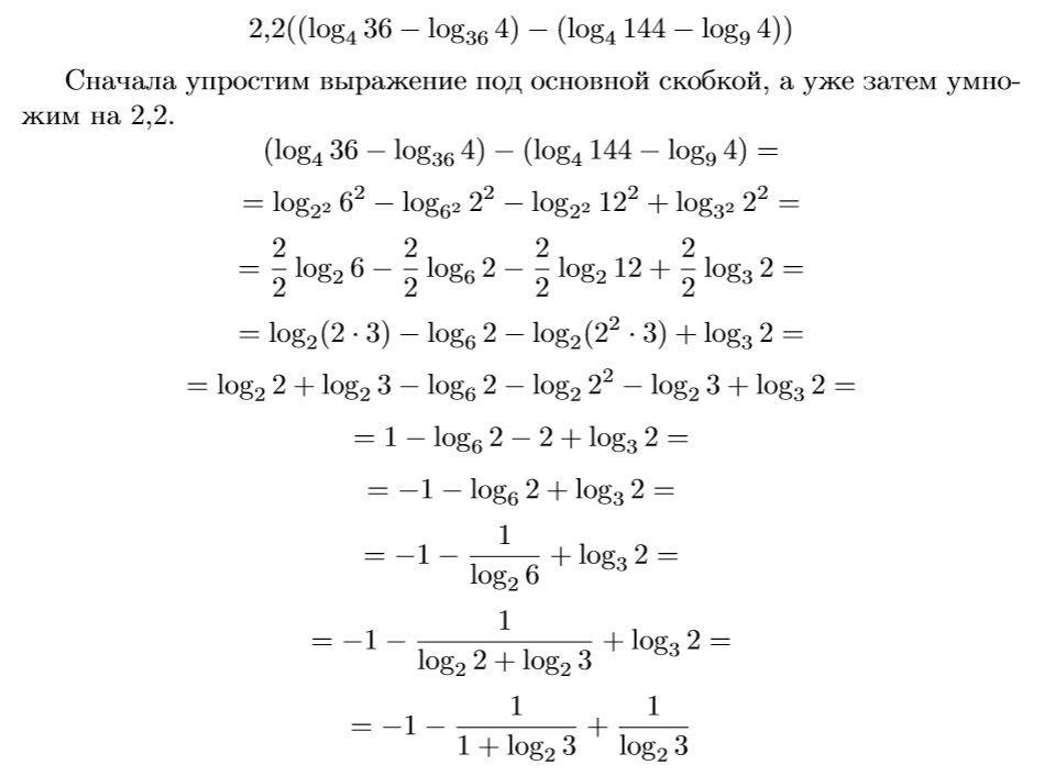
2,2((log4 36 - log36 4) - (log4 144 - log9 4))
Первую скобку я знаю, как раскрыть (поменять основания местами), а что делать со второй - ума не приложу. Может, кто подкинет идею?)
terikovramazan:
Скорее всего основание последнего логарифма равна 8
Ответы
Ответ дал:
1
Решение во вложениях. Если будут какие-либо вопросы — задавайте.
Приложения:



Вас заинтересует
1 год назад
1 год назад
1 год назад
3 года назад
3 года назад
8 лет назад