• Предмет: Алгебра
  • Автор: alex230132
  • Вопрос задан 2 года назад

Только С2
Задание верное, из ЕГЭ по математике за 2005 год

Приложения:

Ответы

Ответ дал: artalex74
0

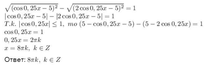
\sqrt{(\cos 0,25x-5)^2} -\sqrt{(2\cos 0,25x-5)^2} =1\\ |\cos 0,25x-5|-|2\cos 0,25x-5|=1\\ T.k.\ |\cos 0,25x|\leq 1,\ mo\ (5-\cos 0,25x-5)-(5-2\cos 0,25x)=1\\ \cos 0,25x=1\\ 0,25x=2\pi k\\ x=8\pi k,\ k\in Z

Ответ: 8\pi k,\ k\in Z

Приложения:
Вас заинтересует