• Предмет: Алгебра
  • Автор: lerasmetanina
  • Вопрос задан 2 года назад

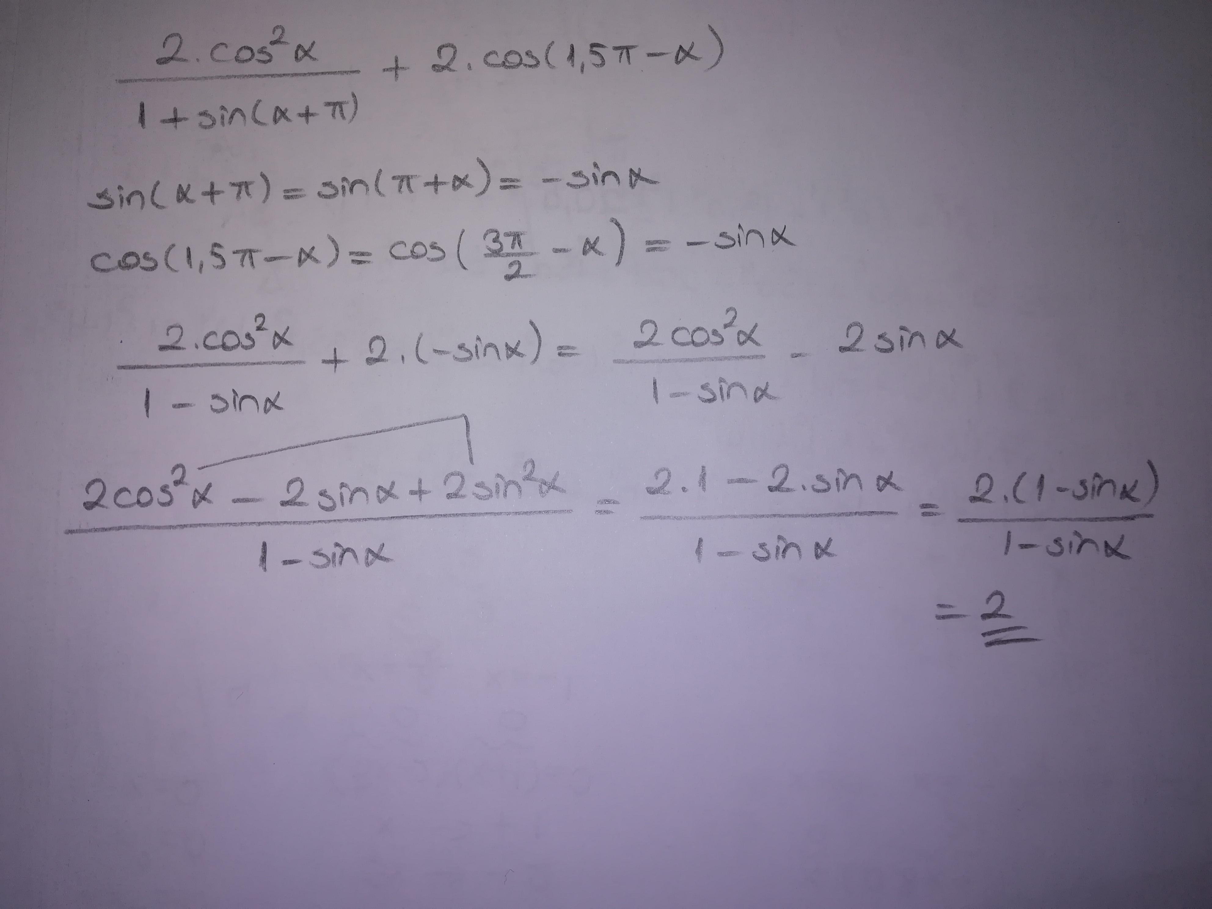
упростить выражение: 2cos^2a/1+sin(a+пи) + 2cos(1,5пи-a)

Ответы

Ответ дал: Mirage86
2

I hope this helps you

Приложения:
Вас заинтересует