Ответы
Ответ дал:
0
//////////////////////////////////////////////////////////////////////
Приложения:

Ответ дал:
0
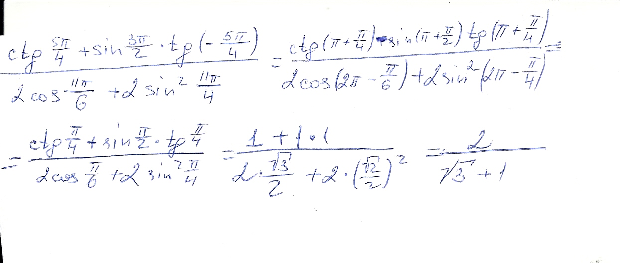
Начнем с числителя
Заметим, что по формуле
. Так как тангенс - функция нечетная, то

Значит числитель дроби переделается в вид


Заметим, что
- это угол третьей четверти. Здесь тангенсы и котангенсы положительны. По формулам приведения


Числитель равен


Знаменатель тоже нужно упростить

По формулам приведения


Используя формулы приведения

.
Теперь преобразуем знаменатель

Теперь запишем в виде дроби

Ответ:
Заметим, что по формуле
Значит числитель дроби переделается в вид
Заметим, что
Числитель равен
Знаменатель тоже нужно упростить
По формулам приведения
Используя формулы приведения
Теперь преобразуем знаменатель
Теперь запишем в виде дроби
Ответ:
Приложения:

Вас заинтересует
2 года назад
2 года назад
8 лет назад
8 лет назад
10 лет назад
10 лет назад
10 лет назад