Ответы
Ответ дал:
0
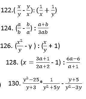
Не поняла 128
Ну что есть то есть
Удачи
Ну что есть то есть
Удачи
Приложения:

Вас заинтересует
1 год назад
1 год назад
1 год назад
1 год назад
3 года назад
8 лет назад
8 лет назад