Ответы
Ответ дал:
1
Ответ:
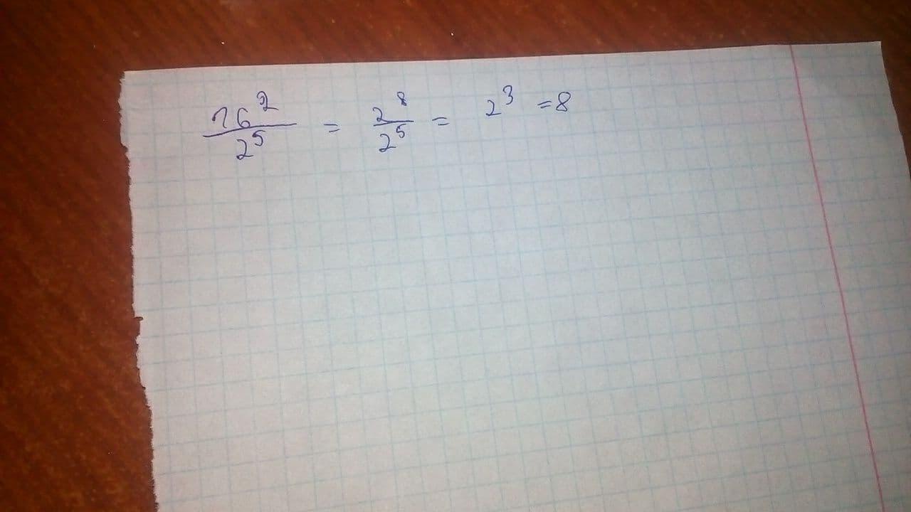
16 ^2 ÷ 2^5 = (2^4)^2 ÷ 2^5= 2^8 ÷2 ^5= 2^8-5=2^3
Объяснение:
Ответ дал:
0
Ответ: Фото.
Объяснение:
Приложения:

Вас заинтересует
2 года назад
2 года назад
2 года назад
2 года назад
7 лет назад
9 лет назад