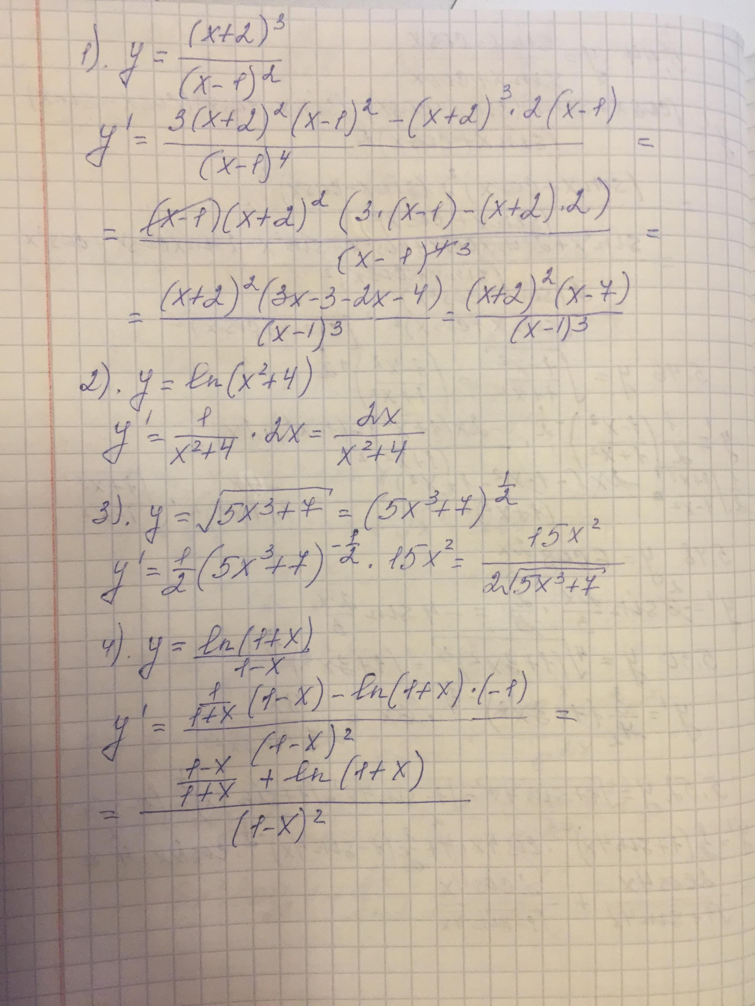
НАХОЖДЕНИЕ ПРОИЗВОДНЫХ СЛОЖНЫХ ФУНКЦИЙ
10 вариант
РЕШИТЕ ПОЖАЛУЙСТА СРОЧНОО
Приложения:

natalyabryukhova:
в) не видно!
можно и без в)
г) у=ln 1+x/1-x
пожалуйста если понимаете в этом, помогите
Ответы
Ответ дал:
2
Ответ:
=============================
Пошаговое объяснение:
Приложения:

Вас заинтересует
1 год назад
1 год назад
1 год назад
3 года назад
8 лет назад