• Предмет: Математика
  • Автор: iskakova33
  • Вопрос задан 2 года назад

ПОЖАЛУЙСТА ПОМОГИТЕ СДЕЛАТЬ !!!!!!​

Приложения:

Ответы

Ответ дал: zabaznov68
1

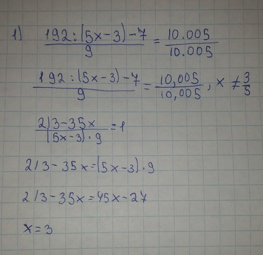
Ответ:

x=3

Пошаговое объяснение:

1. Найти область допустимых значений.

2. Сократить дробь.

Выполнить деление.

3. Умножить обе части равенства на(5x-3)×9

4. Раскрыть скобки выполнить умножение на 9 .

5. Перенести слагаемое в другую часть уравнения.

6. Получить Ответ:x=3

Приложения:

iskakova33: вы мои СПАСИТЕЛИИ!!
zabaznov68: Класс
Вас заинтересует