Ответы
Ответ дал:
1
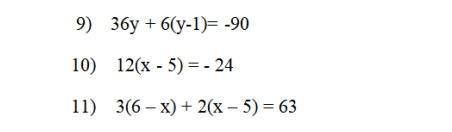
9)
36y + 6(y-1) = -90
42y - 6 = -90
42y = -84
y = -2
Ответ: y = -2
10)
12(x-5) = -24
12x - 60 = -24
12x = 36
x = 3
Ответ: x = 3
11)
3(6-x) + 2(x-5) = 63
18 - 3x + 2x -10 = 63
-x + 8 = 63
-x = 55
x = -55
Ответ: x = -55
Ответ дал:
0
9) 36y+6y-6=-90
42y-6=-90
42y=-90+6
42y=-84
y=-84:42
y=-2
Ответ: у=-2
10) 12(х-5)=-24/:12 (т.е. две стороны мы делим на 12)
х-5=-2
х=-2+5
х=3
11) 18-3х+2х-10х=63
8-х=63
-х=63-8
-х=55
х=-55
42y-6=-90
42y=-90+6
42y=-84
y=-84:42
y=-2
Ответ: у=-2
10) 12(х-5)=-24/:12 (т.е. две стороны мы делим на 12)
х-5=-2
х=-2+5
х=3
11) 18-3х+2х-10х=63
8-х=63
-х=63-8
-х=55
х=-55
Вас заинтересует
1 год назад
1 год назад
2 года назад
2 года назад
3 года назад