• Предмет: Алгебра
  • Автор: vikafisenko04
  • Вопрос задан 2 года назад

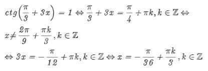
Срооочно,пж решите уравнение

Приложения:

Ответы

Ответ дал: igundane
0

/////////////////////////////

Приложения:
Вас заинтересует