• Предмет: Алгебра
  • Автор: Аноним
  • Вопрос задан 2 года назад

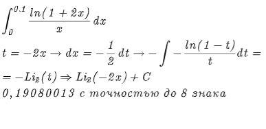
Решите интеграл с точность до 0,001. Номер 8

Приложения:

Ответы

Ответ дал: igundane
0

Советую прочитать "Полилогарифм"

Приложения:

hello93: думаю задача состояла в том, чтобы через ряд вычислить
Вас заинтересует