• Предмет: Математика
  • Автор: netnat91
  • Вопрос задан 2 года назад

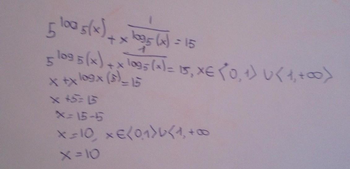
как решить данное уравнение? ​

Приложения:

Ответы

Ответ дал: romankuzmin355
1

Ответ:

Наверное правильно............

Приложения:
Вас заинтересует