• Предмет: Алгебра
  • Автор: ruychka
  • Вопрос задан 2 года назад

Помогите пожалуйста буду благодарна вам❤️❤️❤️

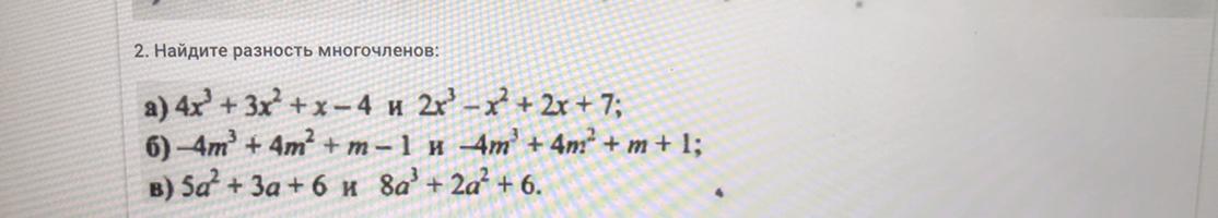
Приложения:

Ответы

Ответ дал: lovekatrusya690
0

Ответ:

5x³-x²+3x+3

-2

3a²+3a-8a³

Вас заинтересует