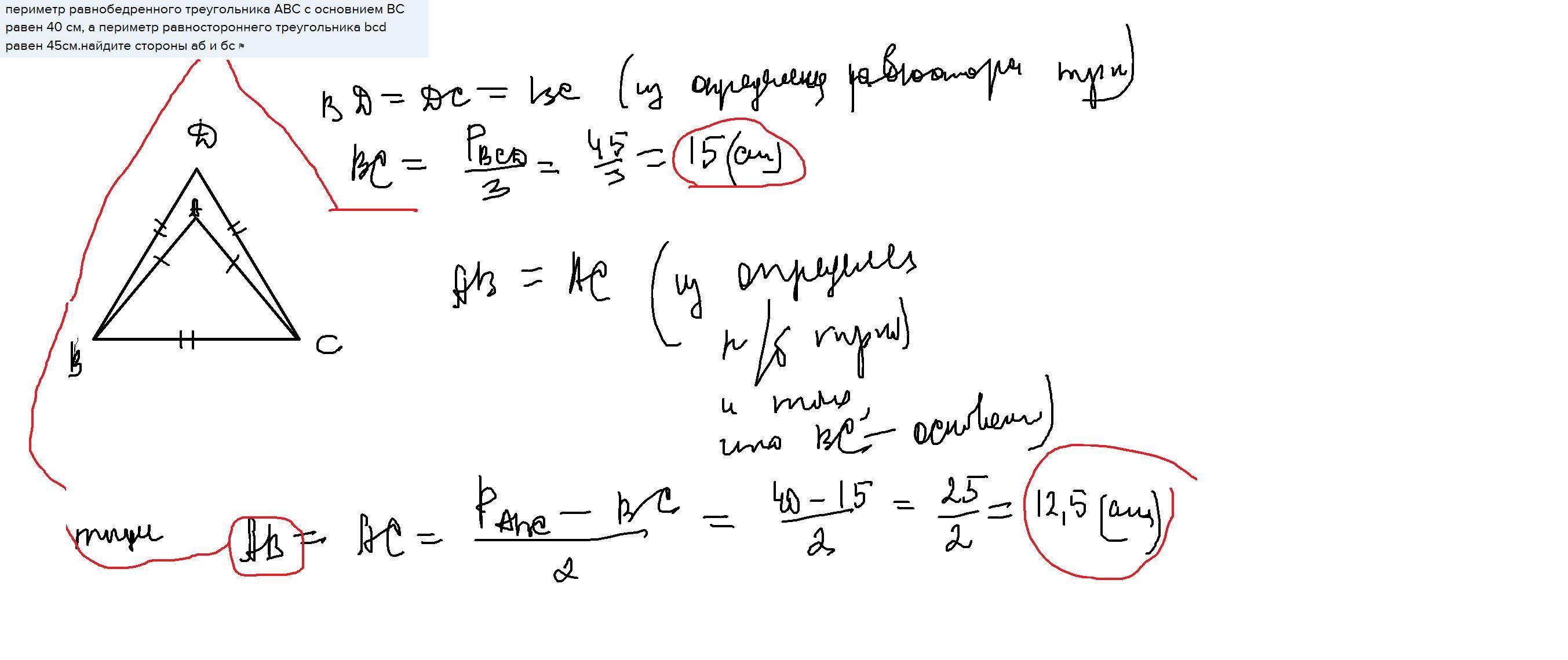
периметр равнобедренного треугольника ABC с основанием BC равен 40 см, а периметр равностороннего треугольника bcd равен 45см.найдите стороны аб и бс.
vikll:
не хватает данных
Ответы
Ответ дал:
1
Ответ:
Объяснение:
периметр равнобедренного треугольника ABC с основанием BC равен 40 см найдите сторону AB
Приложения:

Вас заинтересует
1 год назад
1 год назад
1 год назад
1 год назад
3 года назад
3 года назад
8 лет назад