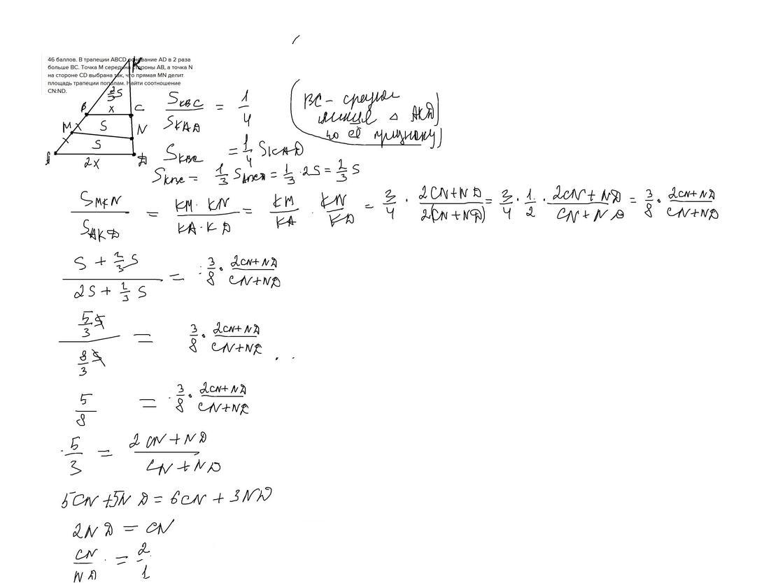
46 баллов. В трапеции ABCD основание AD в 2 раза больше BC. Точка M середина стороны AB, а точка N на стороне CD выбрана так, что прямая MN делит площадь трапеции пополам. Найти соотношение CN:ND.
Ответы
Ответ дал:
0
Ответ:
Объяснение:
46 баллов. В трапеции ABCD основание AD в 2 раза больше BC. Точка M середина стороны AB, а точка N на стороне CD выбрана так, что прямая MN делит площадь трапеции пополам. Найти соотношение CN:ND.
Приложения:


Вас заинтересует
1 год назад
1 год назад
1 год назад
3 года назад
3 года назад
8 лет назад
8 лет назад