• Предмет: Математика
  • Автор: kazievamerei
  • Вопрос задан 2 года назад

помогите пожалуйста ​

Приложения:

Ответы

Ответ дал: pushpull
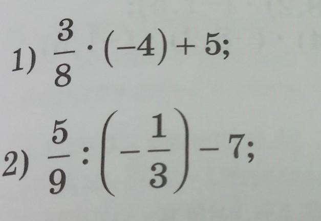
1

Ответ:

а) 3\frac{1}{2}

б) -8\frac{2}{3}

Пошаговое объяснение:

\frac{3*(-4)}{8} +5

\frac{-12}{8} +5

-1\frac{1}{2} +5=3\frac{1}{2}

2)

\frac{5*(-3)}{9}-7

-1\frac{2}{3} -7=-8\frac{2}{3}

Вас заинтересует