Найдите разность x-y из системы уравнений
Даю 50 БАЛЛОВ!!!!!!!!!!!!!!!!!
Приложения:

MizoriesKun:
Только три варианта ответа?
Ответы
Ответ дал:
1
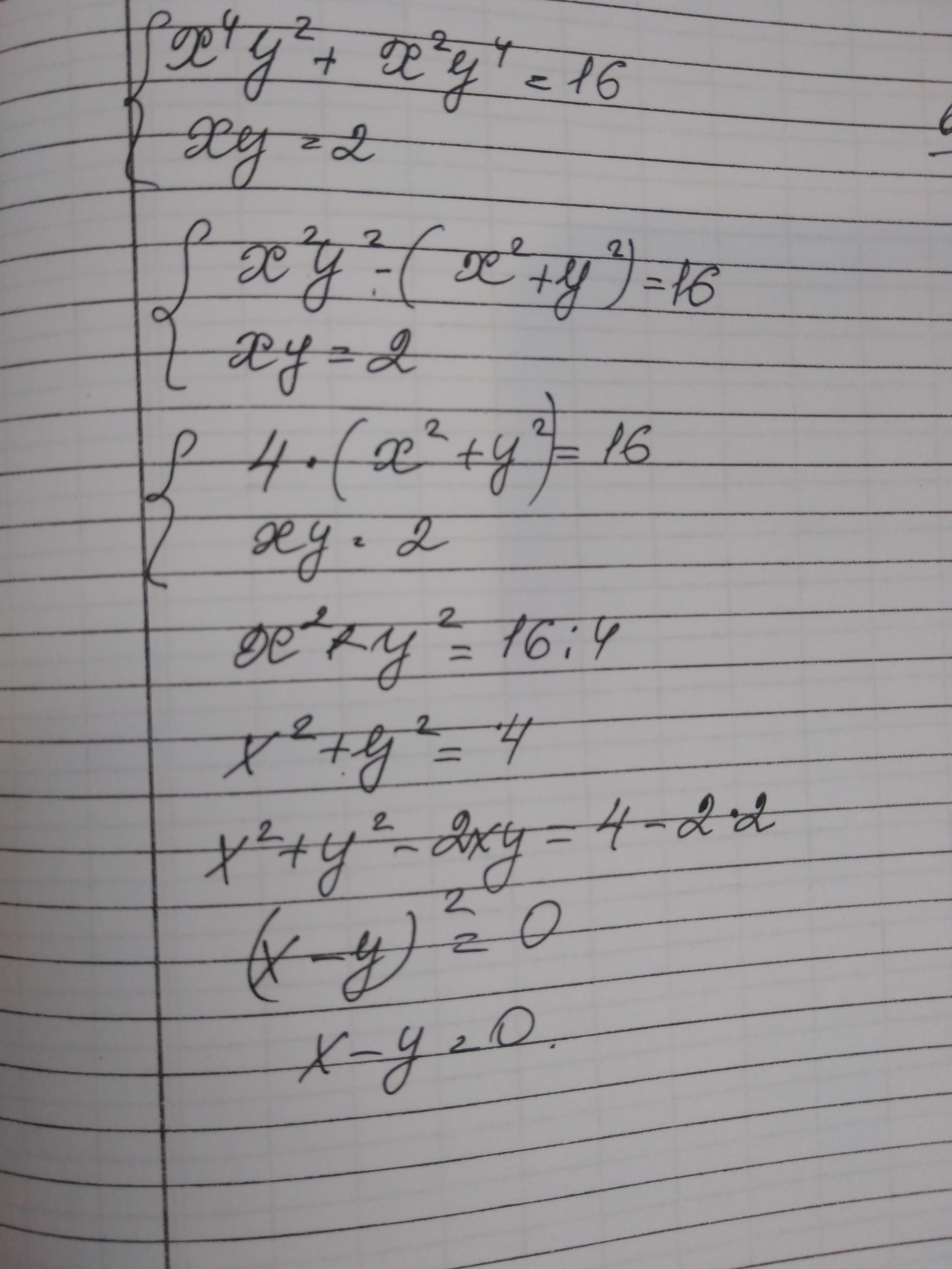
Ответ: 0
Объяснение: во вложении
Приложения:

Ответ дал:
1
Смотри.........................
Приложения:

Вас заинтересует
1 год назад
1 год назад
1 год назад
1 год назад
3 года назад
3 года назад
8 лет назад
8 лет назад