Ответы
Ответ дал:
0
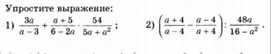
Вот полное решение...
Приложения:

Mikka00:
Это только 1 уравнение
Вас заинтересует
1 год назад
1 год назад
1 год назад
1 год назад
3 года назад
3 года назад
8 лет назад
8 лет назад