• Предмет: Алгебра
  • Автор: savrukovasofiya
  • Вопрос задан 2 года назад

Решите пожалуйста, срочнооо

Приложения:

Ответы

Ответ дал: Evgenia4836
2

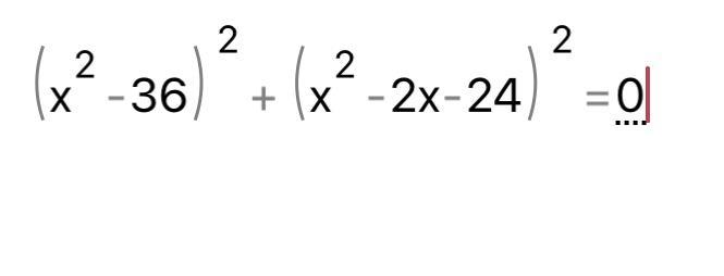
x²-2x-24= x²-6x+4x-24= x(x-6)+4(x-6)= (x-6)(x+4)

(x-6)²(x+6)²+(x+4)²(x-6)²=0

(x-6)²((x+6)²+(x+4)²)=0

(x-6)²(x²+12x+36+x²+8x+16)=0

(x-6)²(2x²+20x+52)=0

(x-6)²(x²+10x+26)=0

1) x=6

2) x²+10x+26=0

D= 100-104= -4 D<0, действительных корней нет

Ответ: x=6

Ответ дал: svetazuna
1

х²-2х-24 = х²-6х+4х-24 = (х²-6х)+(4х-24) = х(х-6)+4(х-6) = (х-6)(х+4), значит:

(х²-36)² + (х²-2х-24)² = 0

((х-6)(х+6))² + ((х-6)(х+4))² = 0,

(х-6)² * ((х+6)² + (х+4)²) = 0,

(х-6)² * (х²+12х+36 + х²+8х+16) = 0,

(х-6)² * (2х²+20х+52) = 0,

(х-6)² * (х²+10х+26) = 0,

(х-6)² = 0,    х²+10х+26 = 0,

х-6 = 0,       Д = 10² - 4*1*26 = 100 - 104 = -4  - корней нет

х = 6,

ответ: х = 6

Вас заинтересует