Ответы
Ответ дал:
0
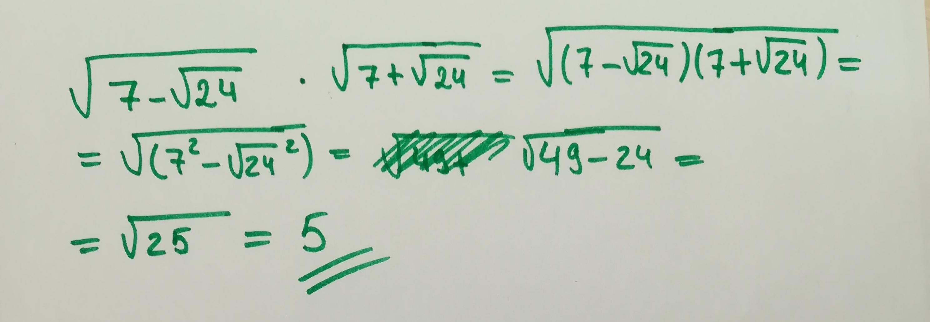
Решение в приложении
Приложения:

Аноним:
ну у меня тоже 5 получилось если без других цифр написать
Вас заинтересует
1 год назад
1 год назад
1 год назад
1 год назад
3 года назад
8 лет назад