• Предмет: Математика
  • Автор: Аноним
  • Вопрос задан 2 года назад

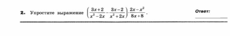
Помогите решить пожалуйста

Приложения:

Ответы

Ответ дал: Аноним
0

Ответ: во вложенеии Пошаговое объяснение:

Приложения:
Вас заинтересует