• Предмет: Алгебра
  • Автор: danilmarkov466
  • Вопрос задан 2 года назад

помогите решить уравнение
8 класс​

Приложения:

Ответы

Ответ дал: viktoriavasilenko15
1

Объяснение:

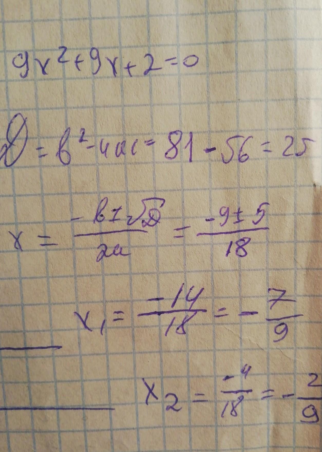
По формуле

9 {x}^{2}  + 12x + 4 = 3x + 2

9x { }^{2}  + 12x + 4 - 3x - 2 = 0

9 {x}^{2}  + 9x + 2 = 0

Приложения:

danilmarkov466: спс
Вас заинтересует