• Предмет: Алгебра
  • Автор: Идвбедппб
  • Вопрос задан 2 года назад

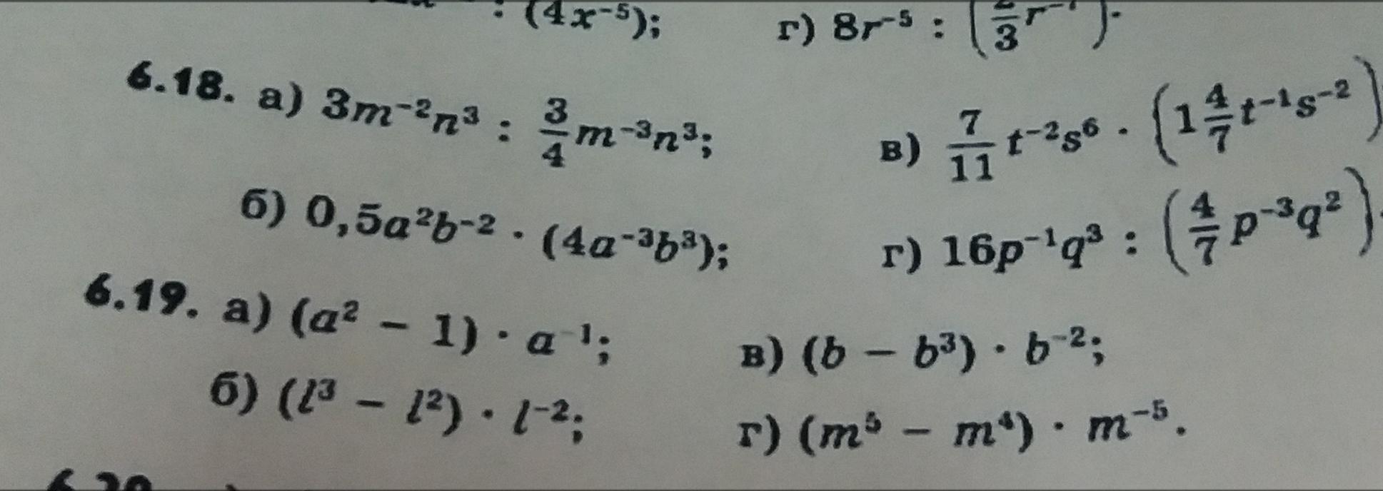
ЧТО НИБУДЬ РЕШИТЕ ПОЖАЛУЙСТА

Приложения:

Ответы

Ответ дал: aydanabagasharova
0

вот решение задачи под номером 6.19

Приложения:
Вас заинтересует