Решите неравенство с помощью дискриминанта
1) 1-х^2<0
2) 2х^2-4х+2≥0
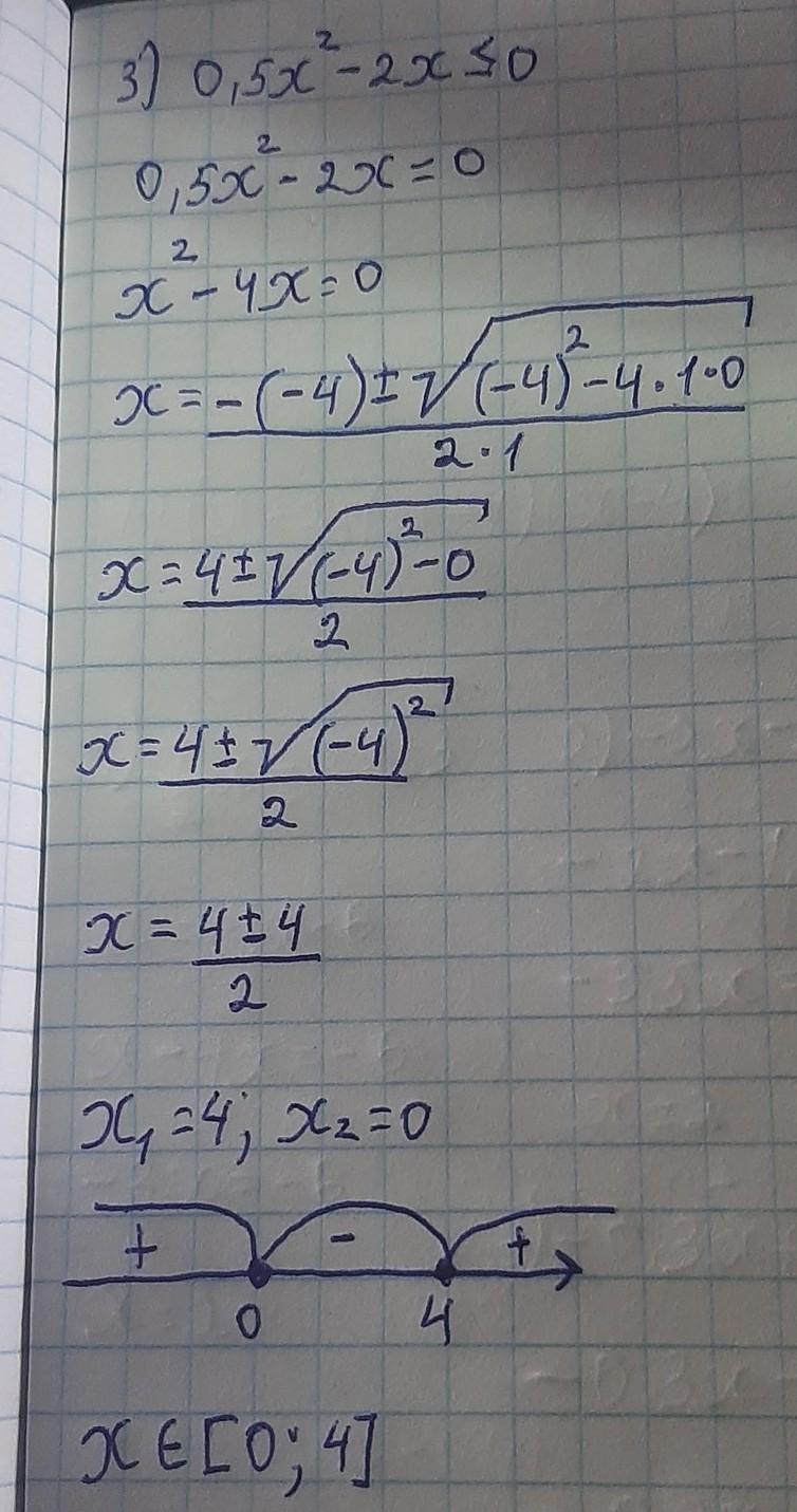
3) 0,5х^2-2х≤0
Помогите пожалуйста
Ответы
Ответ дал:
0
Решение на фото...................
Приложения:
Вас заинтересует
2 года назад
2 года назад
2 года назад
2 года назад
3 года назад
3 года назад
9 лет назад