• Предмет: Алгебра
  • Автор: timyrmak
  • Вопрос задан 2 года назад

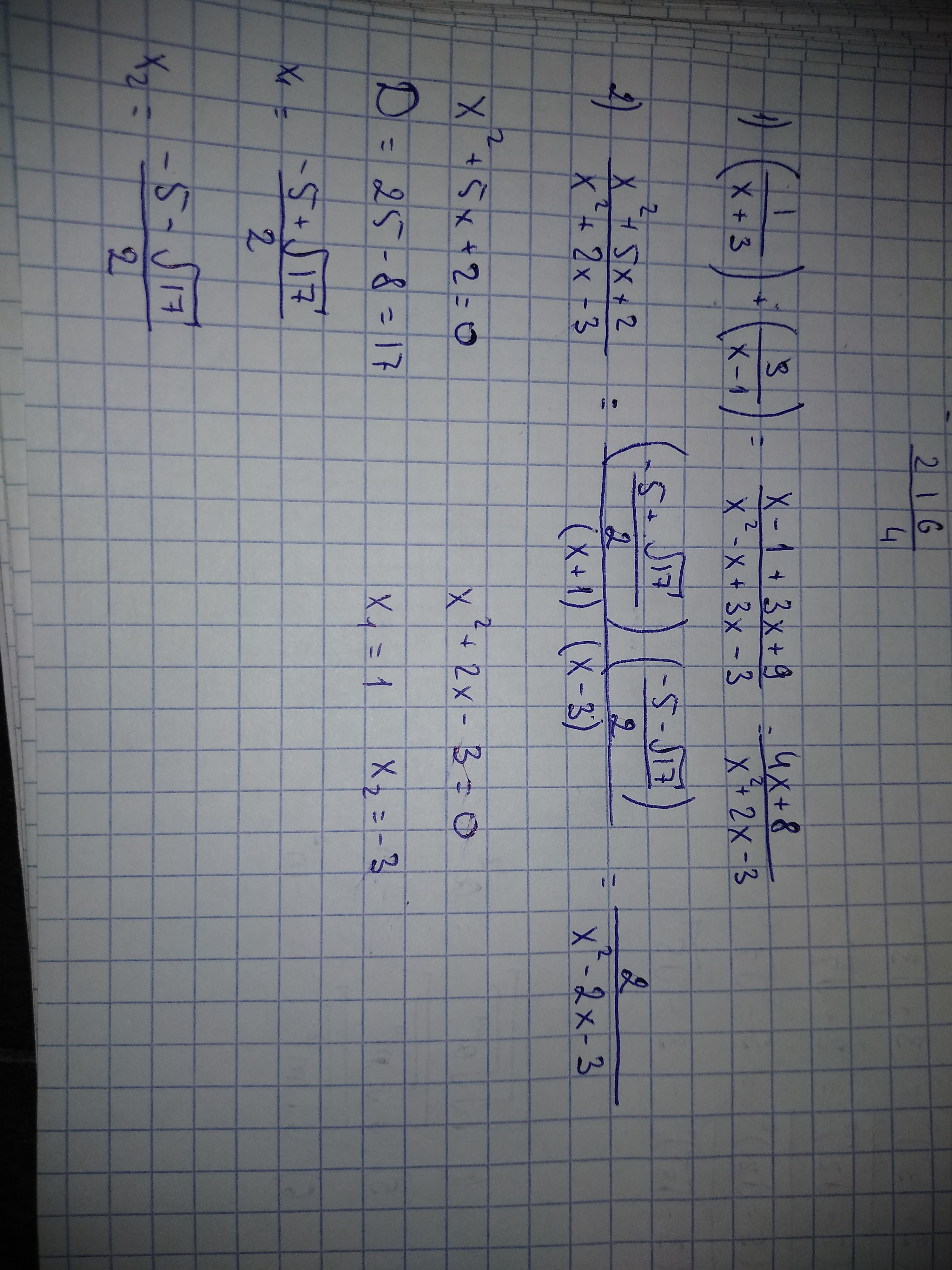
Решите уравнение:
(1/x+3)+(3/x-1)=(x^2+5x+2/x^2+2x-3)

Ответы

Ответ дал: hedggehog
1

Ответ:

Объяснение:

.......................

Приложения:

timyrmak: сори не увидел
Вас заинтересует