Ответы
Ответ дал:
2
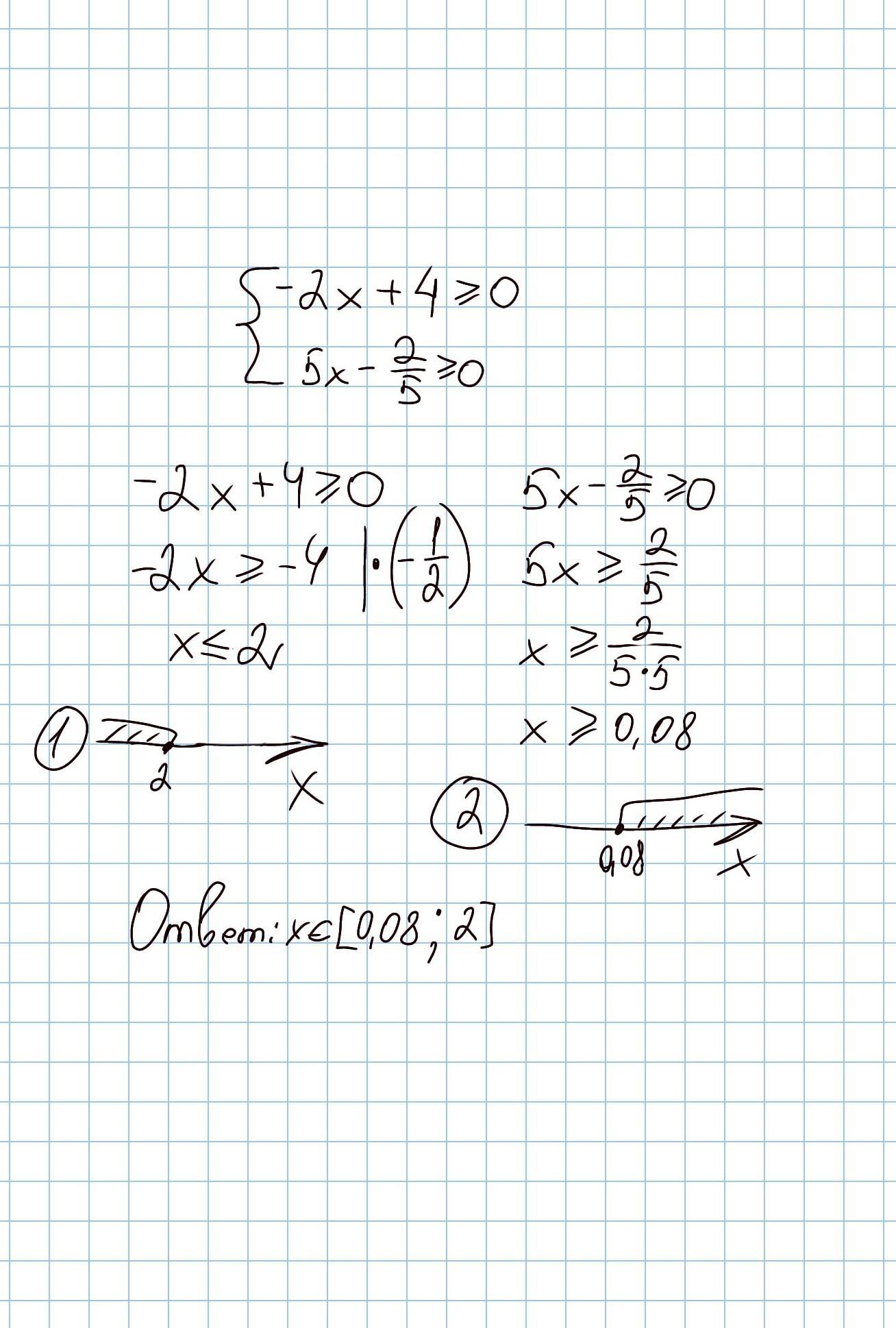
Решение системы уравнений
Приложения:


Voronessa:
Если найдёте в моем решении ошибку, то, прошу, поправьте меня. Мы все люди и можем допустить ошибку в счете
Вас заинтересует
1 год назад
1 год назад
1 год назад
1 год назад
3 года назад
3 года назад
8 лет назад