Ответы
Ответ дал:
8
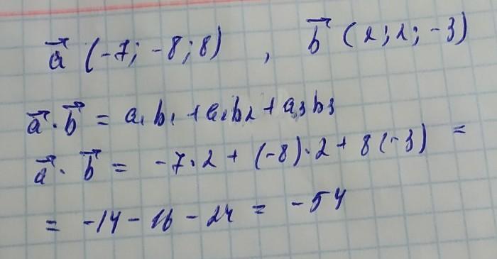
Решение приложено...
Приложения:

lalkalolol:
Здравствуйте! Помогите пожалуйста по алгебре. https://znanija.com/task/33453114 заранее благодарю, ооочень срочно
Вас заинтересует
1 год назад
1 год назад
1 год назад
1 год назад
3 года назад
3 года назад
8 лет назад