• Предмет: Алгебра
  • Автор: Аноним
  • Вопрос задан 2 года назад

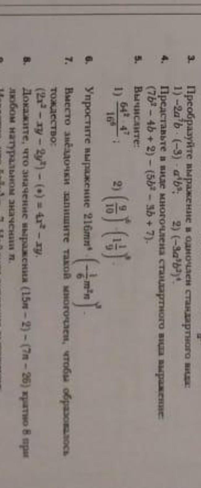
Помогите пожалуйста решить 4, 5 и 8 задание. Буду очень благодарна) ​

Приложения:

Ответы

Ответ дал: Lena3216548
1

Ответ:

в объяснении

Объяснение:

4) 7b^2-4b+2-5b^2+3b-7=2b^2-1b-5

5) 1. (64^2*4^7)/(16^6) = (4^6*4^7)/4^12=4^13/4^12=4

(9/10)^6*(1 1/9)^9= (9/10)^6*(10/9)^9= (9^6/10^6)*(10^9/9^9) сокращаем степени и получим 10^3/9^9=1000/729=1 271/729 или лучше оставить (1 1/9)^3

8) 15n-2-7n+26=8n-28. т.к. мы умножаем n на 8 в примере, то любое число будет кратно 8.


Аноним: Спасибо
Вас заинтересует