Ответы
Ответ дал:
1
Ответ:
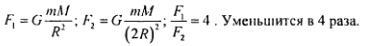
Во вложении
Объяснение:
Приложения:

Вас заинтересует
1 год назад
3 года назад
3 года назад
8 лет назад
8 лет назад