• Предмет: Математика
  • Автор: helphelphelp8
  • Вопрос задан 2 года назад

допоможіть обчислити границі функції будь ласочка
хоча б дві якісь :(

Приложения:

Ответы

Ответ дал: nanchic
1

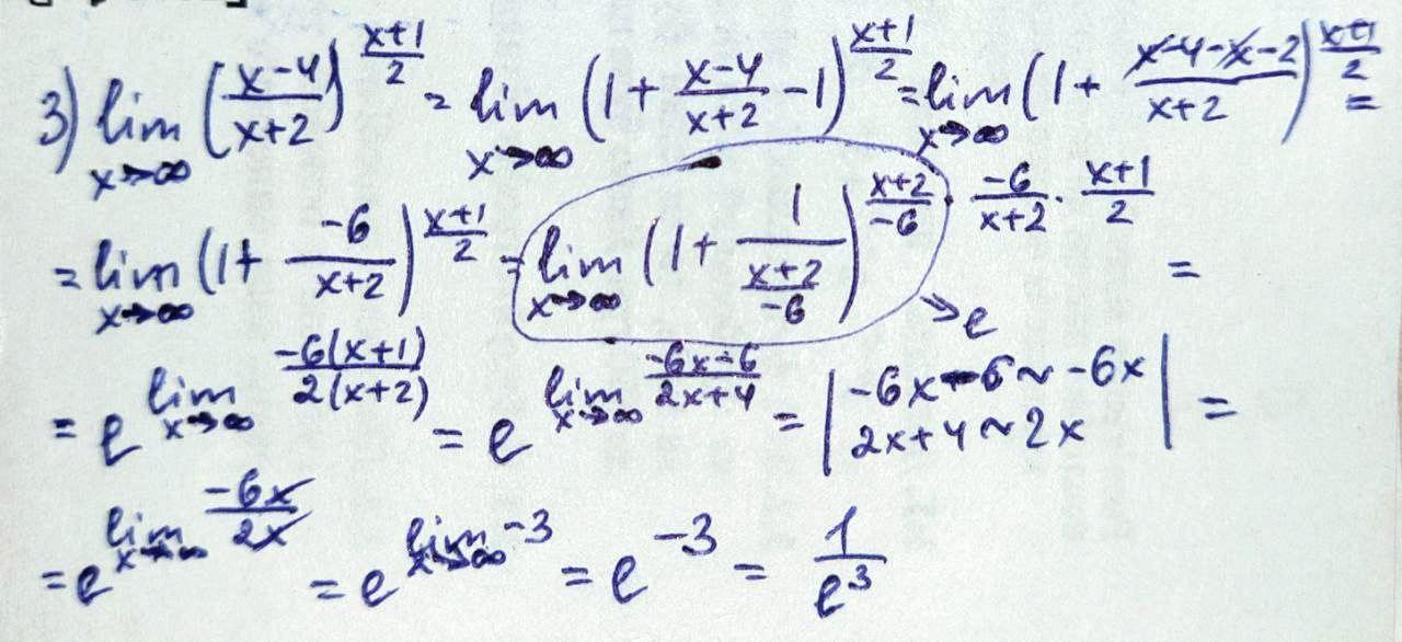
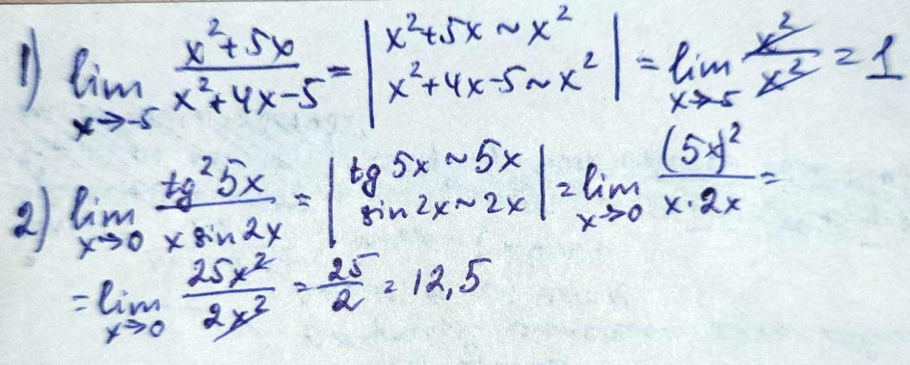
Відповідь і покрокове пояснення: на фото

Приложения:

helphelphelp8: спасибо огромное!!!
Вас заинтересует