Ответы
Ответ дал:
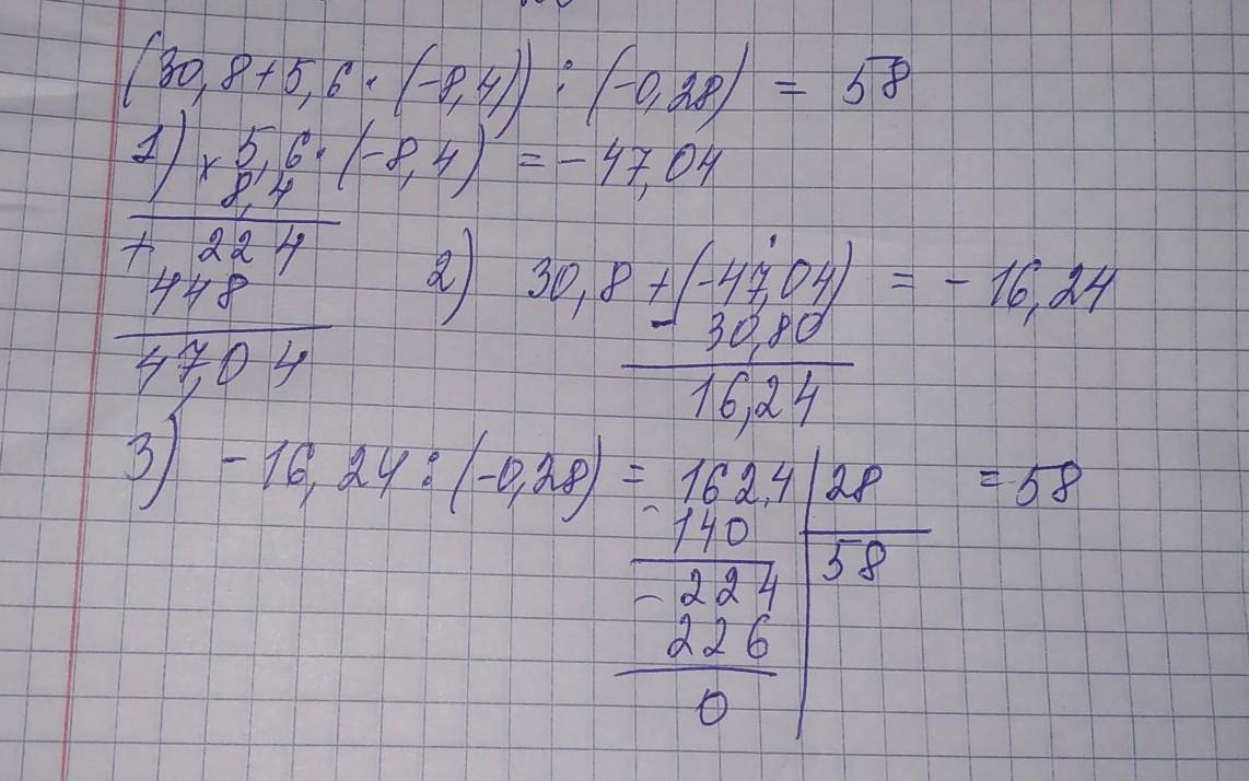
9
Ответ:
надеюсь понятно написала
,
Приложения:

akylaidaniiarkyzy03:
Во-первых надо умножать будет минус
Вас заинтересует
1 год назад
1 год назад
3 года назад
3 года назад
8 лет назад
8 лет назад