• Предмет: Алгебра
  • Автор: lazan1981
  • Вопрос задан 2 года назад

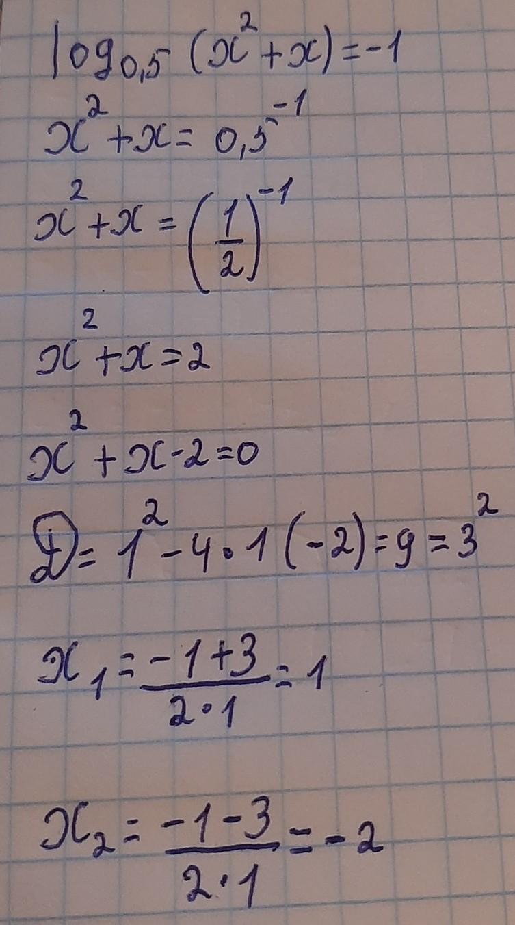
log 0,5 (x^2+x) = -1

Ответы

Ответ дал: QDominus
0

 log_{0.5}( {x}^{2}  + x)  =  - 1 \\ ОДЗ:  {x}^{2}  + x > 0 \\ x(x + 1) > 0 \\ x \in( -  \infty; - 1) \cup(0; +  \infty) \\  {x}^{2}  + x =  {0.5}^{ - 1}  \\  {x}^{2}  + x - 2 = 0 \\ x_{1}  =  - 2 \\ x_{2} = 1

Ответ: -2, 1

Ответ дал: BpexLoader
0

Решение на фото..................

Приложения:
Вас заинтересует