• Предмет: Алгебра
  • Автор: zorazorin6372
  • Вопрос задан 2 года назад

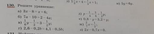
упр 130 помогите пожалуйста
ДАЮ 35 БАЛЛОВ​

Приложения:

Ответы

Ответ дал: ftrrrrr12112
0

Ответ:н

Объяснение:сейчас напишу ответ 10 мин


zorazorin6372: на листке?
Вас заинтересует