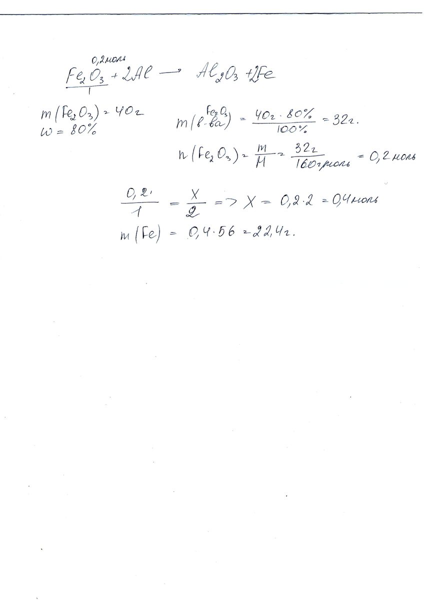
1.Сколько граммов железа можно получить алюминотермическим способом из 40 граммов красного железняка, содержащего 80% оксида железа (III)?
2. Сколько граммов железа можно получить с помощью угарного газа из 50,2 граммов красного железняка, содержащего 75% оксида железа (III), если практический выход железа составляет 85% от теоретического?C подробным объяснением
Ответы
Ответ дал:
0
Смотри, вроде так...я бы так решила)
Приложения:


Ответ дал:
0
3CO+Fe2O3=2Fe+3CO2
Вас заинтересует
2 года назад
2 года назад
8 лет назад
8 лет назад
10 лет назад
10 лет назад
10 лет назад