• Предмет: Алгебра
  • Автор: Аноним
  • Вопрос задан 11 лет назад

помогите решить:3)))))))))))))

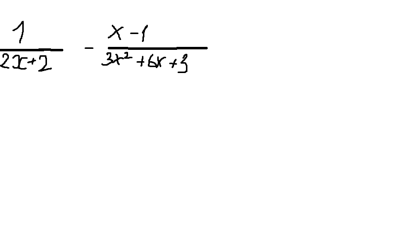
Приложения:

Ответы

Ответ дал: Yena
0
frac{1}{2x+2}-frac{x-1}{3x^2+6x+3}=frac{1}{2(x+1)}-frac{x-1}{3(x^2+2x+1)}=\
=frac{1}{2(x+1)}-frac{x-1}{3(x+1)^2}=frac{3(x+1)-2(x-1)}{6(x+1)^2}=\
=frac{3x+3-2x+2}{6(x+1)^2}=frac{x+5}{6(x+1)^2}
Вас заинтересует