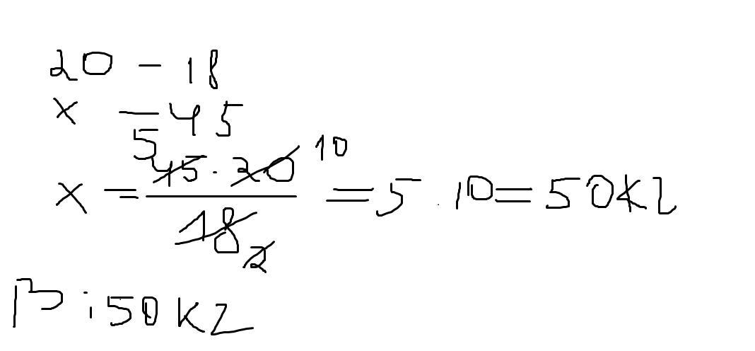
з 20 кг насіння соняшника отримують 18 кг чистого насіння. скільки кілограмів соняшника потрібно. щоб отримати 45 кг чистого насіння?
Ответы
Ответ дал:
16
Ответ:
Пошаговое объяснение:
ВОТ И ВСЕ
Приложения:

Вас заинтересует
1 год назад
1 год назад
3 года назад
3 года назад