• Предмет: Математика
  • Автор: 201207makara
  • Вопрос задан 2 года назад

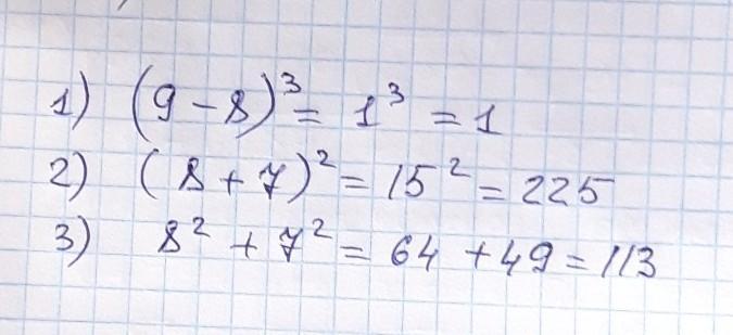
Куб разности чисел 9 и 8
Квадрат суммы чисел 8 и 7
Сумма квадратов чисел 8и 7

Ответы

Ответ дал: sharofat0
3

Ответ:

Математический диктант.

Приложения:
Ответ дал: maslenok95
1
1) (9-8)^3 = 1^3 = 1
2) (8+7)^2 = 15^2= 225
3) 8^2 + 7^2 = 64 + 49 = 113
Вас заинтересует