• Предмет: Математика
  • Автор: 1337Tiger228
  • Вопрос задан 2 года назад

пожалуйста помогите срочно надо плззз

Приложения:

1337Tiger228: isacovalexey криса
isacovalexey12: гамункул ты не доделаный

Ответы

Ответ дал: natalyvd
0

Ответ:

Пошаговое объяснение:

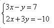
решение на фото.................

Приложения:
Вас заинтересует