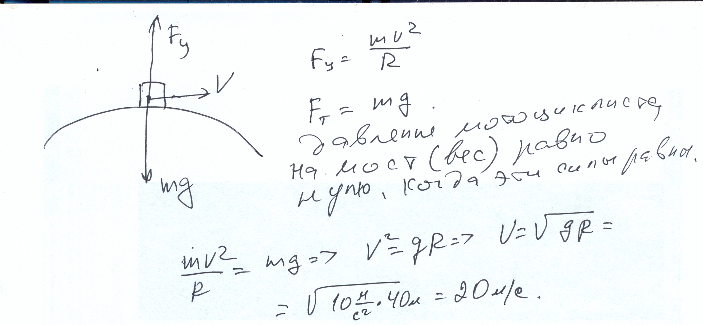
С какой скоростью должен двигаться мотоцикл по выпуклому участку дороги,имеющему радиус кривизны 40м,чтобы в верхней точке этого участка давление на дорогу было равно нулю?
Ответы
Ответ дал:
0
С какой скоростью должен двигаться мотоцикл по выпуклому участку дороги,имеющему радиус кривизны 40 м, чтобы в верхней точке этого участка давление на дорогу было равно нулю?
Приложения:

Вас заинтересует
2 года назад
8 лет назад
8 лет назад
10 лет назад
10 лет назад
10 лет назад