Ответы
Ответ дал:
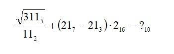
0
Ответ:
вообще,там очень большая цифра получится ,но если сокр всё ,то 5
lizak525:
НЕПРАВИЛЬНО
Вас заинтересует
2 года назад
2 года назад
2 года назад
2 года назад
3 года назад
3 года назад
9 лет назад
9 лет назад